2023年高考《物理》第三次模拟考试卷物理·全解全析



单选题 (共 4 题 ),每题只有一个选项正确
如图所示为玻尔提出的氢原子能级图,现有一个装有大量处于n=3能级氢原子的发光管,利用该发光管发出的光线照射金属钙表面。已知金属钙的逸出功为3.2 eV,可见光光子的能量范围介于1.61~3.10 eV之间,则下列结论正确的是
$\text{A.}$ 氢原子向外辐射的不同频率的光子有6种 $\text{B.}$ 能够看到发光管发出的两种光 $\text{C.}$ 发光管发出的所有光子均能使金属钙发生光电效应 $\text{D.}$ 氢原子辐射光子后电子绕核运动的动能增大,电势能减小

如图所示, 一轻绳跨过固定在坚直杆下端的光滑定滑轮 $O$, 轻绳两端点 $A 、 B$ 分别连接 质量为 $m_1$ 和 $m_2$ 两物体。现用两个方向相反的作用力缓慢拉动物体, 两个力方向与 $A B$ 连线 在同一直线上。当 $\angle A O B=90^{\circ}$ 时, $\angle O A B=30^{\circ}$, 则两物体的质量比 $m_1: m_2$ 为
$\text{A.}$ 1:1 $\text{B.}$ 1:2 $\text{C.}$ $1:\sqrt{2}$ $\text{D.}$ $1:\sqrt{3}$

如图所示,为一定量的理想气体从状态a经过状态b到达状态c的p-V图像,状态a的温度为Ta,状态c的温度为Tc,从状态a到状态b气体的内能变化的大小为50J。下列说法中正确的是
$\text{A.}$ Ta < Tc $\text{B.}$ 从状态a到状态b的过程中气体从外界吸收热量175J $\text{C.}$ 从状态a状态到c的过程中气体的内能先减小后增大 $\text{D.}$ 从状态a状态到c的过程中气体从外界吸收的热量大于200J

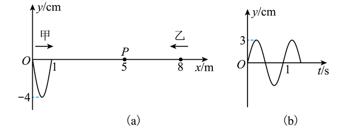
甲、乙两列机械波在同一种介质中沿x轴相向传播,甲波波源位于O点,乙波波源位于x=8m处,两波源均沿y轴方向振动。在t=0时刻位于O点的波源形成的波形如图(a)所示,此时乙波波源开始振动,其振动图像如图(b)所示,已知甲波的传播速度v甲=2.0m/s,质点P的平衡位置位于x=5m处。下列说法中正确的是
$\text{A.}$ 乙波的波长为4m $\text{B.}$ 在t=2.0s时,质点P开始振动 $\text{C.}$ 若两波源一直振动,则质点P为振动加强点,其振幅为7cm $\text{D.}$ 若两波源一直振动,则在t=4.5s时,质点P处于平衡位置且向y轴负方向振动

多选题 (共 4 题 ),每题有多个选项正确
航天员驾驶宇宙飞船进行太空探索时发现一颗星球,测得该星球的半径等于地球半径,登陆后测得该星球表面的重力加速度大小只有地球表面重力加速度大小的1/3 ,不考虑星球和地球的自转,下列说法正确的是
$\text{A.}$ 航天员在该星球表面时所受重力是航天员在地球表面时所受重力的 1/3 $\text{B.}$ 该星球质量是地球质量的 1/3 $\text{C.}$ 该星球的平均密度是地球平均密度的3倍 $\text{D.}$ 该星球的第一宇宙速度是地球第一宇宙速度的 $\sqrt{3}{3}$

如图甲所示, 一质量为 $1 \mathrm{~kg}$ 的物体在 $t=0$ 时受到拉力 $F$ 的作用, 由静止开始坚直向上做加 速直线运动, 其运动时的 $a-t$ 图象如图乙所示, 已知重力加速度 $g=10 \mathrm{~m} / \mathrm{s}^2$, 空气阻力忽略 不计, 下列说法正确的是
$\text{A.}$ 在 $t=4 \mathrm{~s}$ 时, 拉力 $F$ 为 $12 \mathrm{~N}$ $\text{B.}$ 在 $t=4 \mathrm{~s}$ 时, 物体克服重力做功的功率为 $60 \mathrm{~W}$ $\text{C.}$ 在 $0 \sim 4 \mathrm{~s}$ 时间内, 物体的动量改变量的大小为 $46 \mathrm{~kg} \cdot \mathrm{m} / \mathrm{s}$ $\text{D.}$ 在 $0 \sim 4 \mathrm{~s}$ 时间内, 拉力 $\mathrm{F}$ 对物体做的功大于 $18 \mathrm{~J}$

如图所示, 在正三棱雉 $O-A B C$ 的顶点 $O$ 处固定一负点电荷, $A^{\prime} 、 B^{\prime} 、 C^{\prime}$ 分别是三条棱的 中点。则下列说法正确的是
$\text{A.}$ 三角形 $\mathrm{ABC}$ 所在平面为等势面 $\text{B.}$ $A^{\prime}$ 点的电场强度大小是 $A$ 点的 4 倍, 且方向相同 $\text{C.}$ 将一正的试探电荷从 $A^{\prime}$ 点沿直线移到 $B^{\prime}$, 再沿直线移到 $C^{\prime}$, 静电力做功为 0 $\text{D.}$ 若 $B^{\prime}$ 点电势为 $\varphi$, 则 $B$ 点电势为 $2 \varphi$

如图, 光滑平行轨道 $a b c d$ 的曲面部分是半径为 $R$ 的四分之一圆弧, 水平部分位于坚直向上、 大小为 $B$ 的匀强磁场中, 导轨部分两导轨间距为 $L$, 导轨II部分两导轨间距为 $\frac{L}{2}$, 将质量均 为 $m$ 的金属棒 $\mathrm{P}$ 和 $\mathrm{Q}$ 分别置于轨道上的 $a b$ 段和 $c d$ 段, 且与轨道垂直。 $\mathrm{P} 、 \mathrm{Q}$ 棒电阻均为 $r$, 导轨电阻不计。 $\mathrm{Q}$ 棒静止, 让 $\mathrm{P}$ 棒从圆弧最高点静止释放, 当 $\mathrm{P}$ 棒在导轨I部分运动时, $\mathrm{Q}$ 棒已达到稳定运动状态。下列说法正确的是
$\text{A.}$ $\mathrm{P}$ 棒到达轨道最低点瞬间对轨道压力的大小为 $2 m g$ $\text{B.}$ $\mathrm{Q}$ 棒第一次稳定运动时速度大小为 $\frac{\sqrt{2 g R}}{2}$ $\text{C.}$ $\mathrm{Q}$ 棒从开始运动到第一次速度达到稳定, 该过程通过 $\mathrm{P}$ 棒的电荷量为 $\frac{4 m \sqrt{2 g R}}{5 B L}$ $\text{D.}$ 从 $\mathrm{P}$ 棒进入导轨II云动到再次稳定过程中, $\mathrm{P} 、 \mathrm{Q}$ 棒中产生的总热量为 $\frac{1}{50} m g R$

填空题 (共 2 题 ),请把答案直接填写在答题纸上
某同学为测量玻璃砖的折射率, 准备了下列器材:激光笔、直尺、刻度尺、一面镀有反射膜 的平行玻璃砖。如图所示, 直尺与玻璃砖平行放置, 激光笔发出的一束激光从直尺上的 $O$ 点射向玻璃砖表面, 在直尺上观察到 $A 、 B$ 两个光点, 读出 $O A$ 间的距离为 $20.00 \mathrm{~cm}, A B$ 间 的距离为 $6.00 \mathrm{~cm}$, 测得图虫直尺到玻璃砖上表面距离 $d_l=10.00 \mathrm{~cm}$, 玻璃砖厚度 $d_2=4.00 \mathrm{~cm}$ 。
(1) 请在图中作出到达 $B$ 点光线的光路图 ________
(2)玻璃的折射率 $n=$ ________ (结果保留 2 位有效数字)。

利用如图所示电路测未知电阻$R_x$ 的阻值和干电池的电动势、内电阻。

提供的实验器材如下:
A. 待测电阻 $R_x$, 阻值约 $6 \Omega$;
B. 两节干电池 (串联使用);
C. 电压表: 量程 $0 \sim 3.0 \mathrm{~V}$, 内阻约 $1.5 \mathrm{k} \Omega$;
D. 电压表: 量程 $0 \sim 15.0 \mathrm{~V}$, 内阻约 $7.5 \mathrm{k} \Omega$;
E. 电流表: 量程 $0 \sim 0.6 \mathrm{~A}$, 内阻约 $1.0 \Omega$;
F. 电流表:量程 $0 \sim 1.0 \mathrm{~mA}$, 内阻 $100 \Omega$;
G.电阻箱: $0 \sim 9999.9 \Omega$;
H.滑动变阻器: $0 \sim 20 \Omega$;
I. 开关、导线若干。回答下列问题:
(1)用笔画线代替导线连接实物图。

(2) 电路图中电流表 $\mathrm{A}_2$ 与电阻箱 $R_0$ 串联后改装成量程为“ $0 \sim 3.0 \mathrm{~V}$ ”的电压表, 则电路图中 的电压表 $\mathrm{V}$ 选 , 电流表 $A_1 、 A_2$ 分别选 (填器材前面的字母)。
(3)电压表的示数用 $U_1$ 表示, 改装电压表的示数用 $U_2$ 表示, 某次实验中 $\mid U_1=U_2$, 则待测 电阻 $R_x$ 的测量值 (填“小于”“等于”或“大于”) 真实值。
(4) 满足 (3) 条件, 电流表 $\mathrm{A}_1$ 示数用 $I_1$ 表示, 电流表 $\mathrm{A}_2$ 示数用 $I_2$ 表示。作图像如图所示, 图中 $a 、 b$ 为已知量, 则干电池的电动势 $E=$ , 内电阻 $r=$

解答题 (共 3 题 ),解答过程应写出必要的文字说明、证明过程或演算步骤
某同学受自动雨伞开全过程的启发, 设计了如图所示的物理模型。坚直放置在水平桌面上的 滑杆上套有一个滑块, 初始时它们处于静止状态。当滑块从 $A$ 处以初速度 $v_0$ 为 $10 \mathrm{~m} / \mathrm{s}$ 向上 滑动时, 受到滑杆的摩擦力 $f$ 为 $1 \mathrm{~N}$, 滑块滑到 $B$ 处与滑杆发生完全非弹性碰撞, 带动滑标 离开桌面一起坚直向上运动。已知滑块的质量 $m=0.2 \mathrm{~kg}$, 滑杆的质量 $M=0.6 \mathrm{~kg}, A 、 B$ 间 的距离 $l=1.2 \mathrm{~m}$, 重力加速度 $g$ 取 $10 \mathrm{~m} / \mathrm{s}^2$, 不计空气阻力。求:
(1) 滑块在静止时和向上滑动的过程中, 桌面对滑杆支持力的大小 $N_1$ 和 $N_2$;
(2) 滑块碰撞前瞬间的速度大小 $v_l$;
(3) 滑杆向上运动的最大高度 $h$ 。

自行车小巧方便, 利用率很高. 胎内气压一般维持在 $2.5 \times 10^5 \sim 3.0 \times 10^5 \mathrm{~Pa}$ 比较安全, 胎压过 低会损坏车胎, 胎压过高会引起爆胎。夏天, 一自行车由于气门芯老化, 发生了漏气, 漏气 前胎压为 $2.5 \times 10^5 \mathrm{~Pa}$, 漏气后的胎压为 $1.5 \times 10^5 \mathrm{~Pa}$, 发现后赶紧用打气简给车胎打气, 车胎 的内胎容积为 $V=2.0 \mathrm{~L}$, 打气筒每打一次可打入压强为 $p_0=1.0 \times 10^5 \mathrm{~Pa}$ 的空气 $V_0=0.1 \mathrm{~L}$, 车 胎因膨胀而增加的体积可以忽略不计。夏天室内温度为 $T_1=27^{\circ} \mathrm{C}$, 中午烈日暴晒时室外温 度可高达 $T_2=37^{\circ} \mathrm{C}$ 。求:
(1)车胎漏气前后胎内气体的质量比(假设漏气前后车胎内气体温度不变);
(2) 当车胎内压强超过 $p_{\mathrm{m}}=3.1 \times 10^5 \mathrm{~Pa}$ 时就容易发生爆胎事故, 夏季在室内给车胎打气时, 用打气筒最多可以打多少次, 才能保证在室外骑自行车不发生爆胎 (注: 打气前胎内压强为 $1.5 \times 10^5 \mathrm{~Pa}$ )。

如图所示, 两平行足够长且电阻可忽略的光滑金属导轨安装在倾角为 $\alpha=30^{\circ}$ 光滑绝缘斜面 上, 导轨间距 $L=0.4 \mathrm{~m}$, 磁感应强度 $B=1.0 \mathrm{~T}$ 的有界匀强磁场宽度为 $d=0.2 \mathrm{~m}$, 磁场方向与 导轨平面垂直; 长度为 $2 d$ 的绝缘杆将导体棒和边长为 $d$ 的正方形单匝线框连接在一起组成 如图所示装置, 其总质量 $m=0.1 \mathrm{~kg}$, 导体棒中通以大小为 $I=3.75 \mathrm{~A}$ 的恒定电流 (由外接恒流 源产生, 图中末画出)。线框的总电阻为 $R=0.2 \Omega$, 其下边与磁场区域边界平行。现将线框 下边置于距磁场上边界 $x$ 处由静止释放, 线框恰好可匀速穿过磁场区域, 导体棒在整个运动 过程中始终与导轨垂直, 重力加速度取 $g=10 \mathrm{~m} / \mathrm{s}^2$ 。求:
(1) 装置释放时线框下边与磁场上边界的距离 $x$;
(2) 若线框下边与磁场区域上边界重合时将线框由静止释放, 导体棒恰好运动到磁场区域 下边界处返回, 求装置从释放到开始返回的过程中, 线框中产生的焦耳热 $Q$;
(3) 在 (2) 情景中求线框第一次穿越磁场区域所需的时间 $t$ 。

非会员每天可以查看15道试题。 开通会员,海量试题无限制查看。

  • 无限看试题

  • 下载试题

  • 组卷
开通会员

热点推荐

试卷二维码

分享此二维码到群,让更多朋友参与

试卷白板

试卷白板提供了一个简单的触摸书写板,可供老师上课、或者视频直播时, 直接利用白板给学生讲解试题,如有意见,欢迎反馈。