收藏试卷 下载Word 导出试卷 打印试卷 试卷白板

辽宁省普通高中 2023-2024 学年度下学期 6 月月考模拟试题



单选题 (共 8 题 ),每题只有一个选项正确
锐角 $\triangle A B C$, “ $\tan A \tan B=\tan ^2 C$ ”是 “ $C \geqslant 60^{\circ}$ ”的 条件
$\text{A.}$ 充分不必要 $\text{B.}$ 必要不充分 $\text{C.}$ 充要 $\text{D.}$ 既不充分也不必要

在 $\triangle A B C$ 中, $\cos A=\frac{3}{5}, \sin B=\frac{3}{15}$, 则 $\sin C$ 的值为
$\text{A.}$ $\frac{63}{65}$ 或 $\frac{33}{65}$ $\text{B.}$ $\frac{33}{65}$ $\text{C.}$ $\frac{63}{65}$ $\text{D.}$ $\frac{33}{65}$ 或 $\frac{13}{65}$

设 $\vec{a}, \vec{b}$ 为平面内任意两个非零向量, 则下列不正确的是
$\text{A.}$ $\vec{a} / / \vec{b}$ 的充要条件是 $\exists \lambda \in R$, 使 $\vec{a}=\lambda \vec{b}$ $\text{B.}$ $\vec{a} \perp \vec{b}$ 的充要条件是 $\vec{a} \cdot \vec{b}=0$ $\text{C.}$ $|\vec{a} \cdot \vec{b}|=|\vec{a}||\vec{b}|$ 的充要条件是 $\vec{a} / / \vec{b}$ $\text{D.}$ $|\vec{a}+\vec{b}|=|\vec{a}|+|\vec{b}|$ 的充要条件是 $\vec{a} / / \vec{b}$

如图是下列四个函数中的某个函数在区间 $[-3,3]$ 的大致图像,则该函数是
$\text{A.}$ $y=\frac{-x^3+3 x}{x^2+1}$ $\text{B.}$ $y=\frac{x^3-x}{x^2+1}$ $\text{C.}$ $y=\frac{2 x \cos x}{x^2+1}$ $\text{D.}$ $y=\frac{2 \sin x}{x^2+1}$

沈括的《梦溪笔谈》是中国古代科技史上的杰作,其中收录了计算圆弧长度的“会圆术”, 如图, $A B$ 是以 $O$ 为圆心, $O A$ 为半径的圆弧, $C$ 是 $A B$ 的中点, $D$ 在 $A B$ 上, $C D \perp A B$. “会圆术"给出 $A B$ 的弧长的近似值 $s$ 的计算公式: $s=A B+\frac{C D^2}{O A}$. 当 $O A=2, \angle A O B=60^{\circ}$ 时, $s=$
$\text{A.}$ $\frac{11-3 \sqrt{3}}{2}$ $\text{B.}$ $\frac{11-4 \sqrt{3}}{2}$ $\text{C.}$ $\frac{9-3 \sqrt{3}}{2}$ $\text{D.}$ $\frac{9-4 \sqrt{3}}{2}$

若 $\sin (\alpha+\beta)+\cos (\alpha+\beta)=2 \sqrt{2} \cos \left(\alpha+\frac{\pi}{4}\right) \sin \beta$, 则
$\text{A.}$ $\tan (\alpha-\beta)=1$ $\text{B.}$ $\tan (\alpha+\beta)=1$ $\text{C.}$ $\tan (\alpha-\beta)=-1$ $\text{D.}$ $\tan (\alpha+\beta)=-1$

如图所示, 在平面四边形 $A B C D$ 中, $A B=1, B C=2, \triangle A C D$ 为正三角形, 则 $\triangle B C D$ 面积的最大值为
$\text{A.}$ 2 $\text{B.}$ $\sqrt{5}$ $\text{C.}$ $\sqrt{2}+1$ $\text{D.}$ $\sqrt{3}+1$

如图, $\mathrm{C}_{60}$ 是一种碳原子簇, 它是由 60 个碳原子构成的, 其结构是以正五边形和正六边形面组成的凸 32 面体, 这 60 个 $C$ 原子在空间进行排列时, 形成一个化学键最稳定的空间排列位置, 恰好与足球表面格的排列一致, 因此也叫足球烯. 根据杂化轨道的正交归一条件, 两个等性杂化轨道的最大值之间的夹角 $\theta\left(0 < \theta \leq 180^{\circ}\right)$ 满足:
$\alpha+\beta \cos \theta+\gamma\left(\frac{3}{2} \cos ^2 \theta-\frac{1}{2}\right)+\delta\left(\frac{5}{2} \cos ^3 \theta-\frac{3}{2} \cos \theta\right)=0$, 式中 $\alpha, \beta, \gamma, \delta$ 分别为杂化轨道中 $s, p, d, f$ 轨道所占的百分数. $\mathrm{C}_{60}$ 中的杂化轨道为等性杂化轨道, 且无 $d, f$ 轨道参与杂化, 碳原子杂化轨道理论计算值为 $s p^{228}$,它表示参与杂化的 $s, p$ 轨道数之比为 $1: 2.28$, 由此可计算得一个 $\mathrm{C}_{60}$ 中的凸 32 面体结构中的六边形个数和两个等性杂化轨道的最大值之间的夹角的余弦值为
$\text{A.}$ $20 ;-\frac{25}{57}$ $\text{B.}$ $20 ; \frac{25}{57}$ $\text{C.}$ $12 ;-\frac{25}{57}$ $\text{D.}$ $12 ; \frac{25}{57}$

多选题 (共 3 题 ),每题有多个选项正确
设 $P$ 是 $\triangle A B C$ 内部 (不含边界) 的一点, 以下可能成立的是
$\text{A.}$ $\overrightarrow{O P}=\frac{2}{7} \overrightarrow{O A}+\frac{1}{7} \overrightarrow{O B}$ $\text{B.}$ $\overrightarrow{O P}=\frac{2}{7} \overrightarrow{O A}+\frac{5}{7} \overrightarrow{O B}$ $\text{C.}$ $\overrightarrow{O P}=\frac{2}{7} \overrightarrow{O A}+\frac{4}{7} \overrightarrow{A B}$ $\text{D.}$ $\overrightarrow{O P}=\frac{4}{7} \overrightarrow{O A}+\frac{3}{7} \overrightarrow{A B}$

下列选项中哪些是正确的
$\text{A.}$ 在任意三角形中 $\tan A+\tan B+\tan C=\tan A \tan B \tan C$ 恒成立 $\text{B.}$ 在 $\triangle A B C$ 中, 角 $A, B, C$ 所对的边长分别为 $a, b, c$, 若 $\sin A>\sin B$, 则 $a>b$, 反之也成立. $\text{C.}$ $\tan 70^{\circ}+\tan 50^{\circ}-\sqrt{3} \tan 70^{\circ} \tan 50^{\circ}$ 的值等于 $-\sqrt{3}$ $\text{D.}$ 已知 $\sin x=-\frac{12}{13}, x \in\left(\pi, \frac{3 \pi}{2}\right)$, 则 $x$ 等于 $\pi+\arcsin \frac{12}{13}$

若 $O$ 是锐角 $\triangle A B C$ 内的一点, $\angle B A C, \angle A B C, \angle A C B$ 是 $\triangle A B C$ 的三个内角, 且点 $O$ 满足 $\overrightarrow{O A} \cdot \overrightarrow{O B}=\overrightarrow{O B} \cdot \overrightarrow{O C}=\overline{O C} \cdot \overrightarrow{O A}$, 则
$\text{A.}$ $O$ 为 $\triangle A B C$ 的垂心 $\text{B.}$ $\angle A C B+\angle A O B=\pi$ $\text{C.}$ $\overline{O A}: \overline{O B}: \overline{O C}=\sin \angle B A C: \sin \angle A B C: \sin \angle A C B$ $\text{D.}$ $\tan \angle B A C \cdot \overrightarrow{O A}+\tan \angle A B C \cdot \overrightarrow{O B}+\tan \angle A C B \cdot \overrightarrow{O C}=0$

填空题 (共 3 题 ),请把答案直接填写在答题纸上
记函数 $f(x)=\cos (\omega x+\varphi)(\omega>0,0 < \varphi < \pi)$ 的最小正周期为 $T$, 若 $f(T)=\frac{\sqrt{3}}{2}, x=\frac{\pi}{9}$为 $f(x)$ 的零点, 则 $\omega$ 的最小值为

在四边形 $A B C D$ 中, $C E$ 平分 $\angle A C D, A E=C E=2 \sqrt{3}, D E=\sqrt{3}, \angle A B C=\angle A C D$, 则四边形 $A B C D$ 周长的取值范围是

在 $\triangle A B C$ 中, 角 $A, B, C$ 所对的边分别为 $a, b, c$, 若 $3(\cos 2 A-\cos 2 C)=1-\cos 2 B$, 则 $\frac{\sin C}{\sin A \sin B}+\frac{\cos C}{\sin C}$的最小值为

解答题 (共 5 题 ),解答过程应写出必要的文字说明、证明过程或演算步骤
在 $\triangle A B C$ 中, 角 $A, B, C$ 所对的边分别为 $a, b, c$, 且满足 $\cos ^2 B-\cos ^2 C-\sin ^2 A=-\sin A \sin B$.
(1) 求角 $C$ 的大小;
(2) 若点 $D$ 为边 $B C$ 上的一点, 且 $A D=3, B D=\sqrt{2}, A B=\sqrt{17}$, 求 $\triangle A C D$ 的面积.

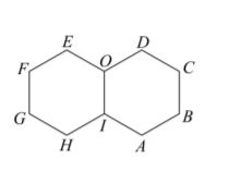
如图是由两个有一个公共边的正六边形构成的平面图形, 其中正六边形边长为 2 .
(1) 设 $\overrightarrow{A G}=x \overrightarrow{A B}+y \overrightarrow{A I}$, 求 $x-y$ 的值;
(2) 若点 $P$ 在 $O D$ 边上运动 (包括端点), 则求 $|\overrightarrow{A O}+2 \overrightarrow{A C}+\overrightarrow{B P}|$ 的最大值.

在 $\triangle A B C$ 中, 角 $A, B, C$ 所对的边分别为 $a, b, c$ :
(1) 若 $\triangle A B C$ 的面积 $S_{\triangle A B C}=\sqrt{5}, \sin (A-B)=(3-4 \cos A) \cdot \sin B$, 求 $c$ 最小值 “ $c_{\text {min }}$ ”;
(2) 若边长 $c$ 为 (1) 中 $c_{\min }$ 的 $\frac{\sqrt{10}}{10}$, 且 $A=2 C$, 求 $\triangle A B C$ 的周长 $C_{\triangle A B C}$ 的取值范围.

已知函数 $f(x)=\sin (2 x+\varphi)\left(|\varphi| < \frac{\pi}{2}\right)$ 的图像向左平移 $\frac{\pi}{6}$ 个单位, 得到函数 $g(x)$ 的图像, 且 $g(x)$ 为偶函数.
(1) 求函数 $f(x)$ 和 $g(x)$ 的解析式;
(2) 若对 $\forall a, b \in[0, m]$. 当 $a < b$ 时, 都有 $f(b)-f(a)>g(a)-g(b)$ 成立, 求 $m$ 的取值范围;
(3) 若关于 $x$ 的方程 $f(x)+g(x)=k$ 在 $\left[0, \frac{13 \pi}{6}\right]$ 上恰有四个不等实根, $x_1, x_2, x_3, x_4\left(x_1 < x_2 < x_3 < x_4\right)$,求 $k$ 的取值范围和 $x_1+2 x_2+2 x_3+x_4$ 的值.

已知函数 $y=f(x), x \in D$. 若对于给定的非零常数 $m$, 存在非零常数 $T$, 使得 $f(x+T)=m \cdot f(x)$ 对于 $x \in D$ 恒成立, 则称函数 $y=f(x)$ 是 $D$ 上的“ $m$ 级类周期函数”, 周期为 $T$.
(1) 已知 $y=f(x)$ 是 $\mathbf{R}$ 上的周期为 1 的 “ 2 级类周期函数”, 且当 $x \in(0,1]$ 时, $f(x)=x(x-1)$. 求 $f\left(\frac{3}{2}\right)$ 的值;
(2) 在 (1) 的条件下, 若对任意 $x \in(-\infty, t]$, 都有 $f(x) \geq-\frac{8}{9}$, 求实数 $t$ 的取值范围;
(3) 是否存在非零实数 $k$, 使函数 $f(x)=\sin k x$ 是 $\mathbf{R}$ 上的周期为 $T$ 的 $T$ 级类周期函数, 若存在, 求出实数 $k$ 和 $T$ 的值, 若不存在, 说明理由.

非会员每天可以查看15道试题。 开通会员,海量试题无限制查看。

  • 无限看试题

  • 下载试题

  • 组卷
开通会员

热点推荐

试卷二维码

分享此二维码到群,让更多朋友参与

试卷白板

试卷白板提供了一个简单的触摸书写板,可供老师上课、或者视频直播时, 直接利用白板给学生讲解试题,如有意见,欢迎反馈。