2025年11月湖南高三年级物理大联考



单选题 (共 6 题 ),每题只有一个选项正确
在人类对世界进行探索的过程中,发现了众多物理规律,下列说法正确的是
$\text{A.}$ 伽利略通过理想斜面实验得出了力是维持物体运动的原因 $\text{B.}$ 牛顿在探究行星与太阳之间的引力作用大小 $F$ 时,得到了 $F=G \frac{M m}{r^2}$ 及引力常量 $G$ 的具体数值 $\text{C.}$ 麦克斯韦提出的狭义相对论表明经典力学不适用于高速运动的物体 $\text{D.}$ 法拉第认为电荷的周围存在着由它产生的电场,他采用了一个简洁的方法来描述电场,那就是画电场线

一着陆器经过多次变轨后登陆火星的轨迹变化如图所示,着陆器先在轨道 I 上运动,经过 $P$ 点时启动变轨发动机切换到圆轨道 II 上运动,经过一段时间后,再次经过 $P$ 点时启动变轨发动机切换到椭圆轨道III上运动。轨道上的 $P 、 Q 、 S$ 三点与火星中心位于同一直线上,$P 、 Q$ 两点分别是椭圆轨道III的远火星点和近火星点,且 $P Q=2 Q S=l$ 。除了变轨瞬间,着陆器在轨道上运行时均处于无动力航行状态。下列说法正确的是

$\text{A.}$ 若着陆器在轨道II、III上运行的周期分别为 $T_2$ 和 $T_3$ ,则 $T_2 < T_3$ $\text{B.}$ 着陆器在轨道III上从 $P$ 点无动力运动到 $Q$ 点的过程中机械能逐渐变大 $\text{C.}$ 若着陆器在轨道 II 上运行的速度大小为 $v$ ,则加速度大小为 $\frac{4 v^2}{3 l}$ $\text{D.}$ 着陆器在轨道 II 上经过 $S$ 点的速度大于在轨道III 上经过 $Q$ 点的速度

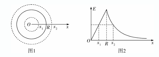
已知均匀带电球壳,其内部电场强度处处为零。如图 1 所示,真空中有一半径为 $R$ 、电荷量为 $+Q$ 的均匀带电实心球,以球心为坐标原点,沿半径方向建立 $x$ 轴,理论分析表明,$x$ 轴上各点的电场强度随 $x$ 变化关系如图 2 所示,静电力常量为 $k$ ,则


$\text{A.}$ $x=R$ 处电场强度大小为 $\frac{k Q}{R}$ $\text{B.}$ $x_1$ 处的电势小于 $x_2$ 处的电势 $\text{C.}$ $x_1$ 处电场强度大小为 $E=k \frac{Q}{R^3} x_1$ $\text{D.}$ 假设将一个带正电的试探电荷沿 $x$ 轴移动,从 $x_1$ 移到 $x_2$ 处的过程中电场力先做正功,后做负功

如图 1 所示,小球从固定斜面的顶端 $O$ 点由静止释放,经过 $A 、 B$ 两个传感器,其中 $B$ 传感器固定在斜面底端,测出 $A 、 B$ 间的距离 $x$ 及小球在 $A 、 B$ 间运动的时间 $t$ 。改变 $A$ 传感器的位置,多次重复实验,计算机作出图像如图 2 中的实线所示。下列说法正确的是

$\text{A.}$ 小球经过 $B$ 时的速度大小为 $12 \mathrm{~m} / \mathrm{s}$ $\text{B.}$ 小球在斜面上运动的加速度大小为 $3 \mathrm{~m} / \mathrm{s}^2$ $\text{C.}$ 小球从顶端 $O$ 点滑至 $B$ 的时间为 4 s $\text{D.}$ 固定斜面的长度为 24 m

如图所示,趣味运动会的"聚力建高塔"活动中,两长度相等的细绳一端系在同一塔块上,两名同学分别握住绳的另一端,保持手在同一水平面以恒定的速率 $v$ 相向运动,当细绳与坚直方向成 $\theta$ 角时,塔块的速度大小为
$\text{A.}$ $\frac{v}{\tan \theta}$ $\text{B.}$ $v \tan \theta$ $\text{C.}$ $2 v \tan \theta$ $\text{D.}$ $2 v \cos \theta$

如图所示,轻质弹簧一端固定,另一端与物块 $A$ 拴接在一起,处于压缩状态,$A$ 由静止释放后沿倾角为 $\theta$ 的固定斜面向上运动到最大位移时,立即将物块 $B$ 紧挨轻放在 $A$ 右上侧,$A 、 B$由静止开始一起沿斜面向下运动,下滑过程中 $A 、 B$ 始终未分离,$A 、 B$ 与斜面间的动摩擦因数均为 $\mu$ ,弹簧未超过弹性限度,重力加速度为 $g$ ,则


$\text{A.}$ $A$ 上滑时,弹簧的弹力方向先沿斜面向上后沿斜面向下 $\text{B.}$ $B$ 下滑过程中的最大加速度大小 $a \leqslant g \sin \theta-\mu g \cos \theta$ $\text{C.}$ $A 、 B$ 下滑时,$B$ 对 $A$ 的压力先增大后减小 $\text{D.}$ 当上滑到最大位移的一半时,$A$ 的加速度方向沿斜面向下

多选题 (共 4 题 ),每题有多个选项正确
如图所示,静电除尘器由板状收集器 $A$ 和线状电离器 $B$ 组成,$A 、 B$ 分别接高压电源的正、负两极,它们之间有很强的电场,空气分子被电离成正离子和电子,电子在向着正极 $A$ 运动的过程中,遇到烟气中的粉尘,使粉尘带负电,粉尘被吸附到正极 $A$ 上,以达到除尘的目的。下列说法正确的是

$\text{A.}$ 带电后的粉尘向板状收集器运动过程中所受的电场力越来越小 $\text{B.}$ $B$ 附近的空气分子比 $A$ 附近的空气分子更容易被电离 $\text{C.}$ 带电粉尘沿电场线运动 $\text{D.}$ 带电后的粉尘向板状收集器运动过程中电势能逐渐增大

如图所示,置于坚直平面内的 $A B$ 光滑曲杆,它是按初速度为 $v_0$ 的平抛运动轨迹制成的,$A$端为抛出点,$B$ 端为落地点,且 $A 、 B$ 间的连线与水平方向成 $\alpha$ 角, $\tan \alpha=\frac{1}{2}$ 。现将一质量为 $m$ 的小圆环套于曲杆上,从 $A$ 端由静止滑下,重力加速度为 $g$ ,则


$\text{A.}$ $A 、 B$ 两点间的坚直高度差为 $\frac{v_0^2}{2 g}$ $\text{B.}$ 小圆环经过 $B$ 点时的速度大小为 $\sqrt{2} v_0$ $\text{C.}$ 小圆环到达 $B$ 点时,重力的瞬时功率为 $m g v_0$ $\text{D.}$ 小圆环经过杆上某点 $P$ 时,小圆环所受弹力沿图中所示方向(垂直于杆向外侧)

如图所示为某排气装置的电路图,它主要由规格为" 220 V 44 W "的排气扇 M 和照明灯 L构成。闭合开关 S 后,排气扇正常工作,照明灯正常发光,电流表的示数为 0.5 A 。已知排气扇线圈电阻为 $40 \Omega$ ,电流表的内阻可忽略。下列判断正确的是



$\text{A.}$ 照明灯 L 正常发光时消耗的功率为 66 W $\text{B.}$ 若开关 S 断开,电流表的示数为 5.5 A $\text{C.}$ 排气扇正常工作时输出的机械功率为 42.4 W $\text{D.}$ 若排气扇突然卡住不动,电路中消耗的功率会减小

如图所示,空间存在坚直向上的匀强电场,在同一水平直线上 $A 、 B$ 两点处分别把两个质量均为 $m$ 的带电小球同时抛出。小球 1 抛出时速度大小为 $v_0$ ,方向水平向右,小球 2 抛出时速度与水平方向成 $\theta=45^{\circ}$ ,两球的运动轨迹在同一坚直面内,两球在 $P$ 点相遇,$P$ 是 $A B$ 连线中垂线上的一点。已知两球所带电荷量大小均为 $q$ ,该过程中两球的运动时间均为 $t= \frac{2 v_0}{g}, g$ 为重力加速度,不计空气阻力和两球间的相互作用,下列说法正确的是


$\text{A.}$ 球 1 带负电,球 2 带正电 $\text{B.}$ 抛出时两球的机械能之和与相遇时两球的机械能之和相等 $\text{C.}$ 电场强度大小为 $E=\frac{m g}{q}$ $\text{D.}$ 从抛出到相遇,球 1 和球 2 的速度变化量之比为 $1: 3$

解答题 (共 5 题 ),解答过程应写出必要的文字说明、证明过程或演算步骤
某物理小组的同学设计了一个粗测玩具小车通过凹形桥最低点时速度的实验。所用器材有:玩具小车、压力式托盘秤、凹形桥模拟器(圆弧部分的半径为 $R=0.20 \mathrm{~m}$ )。

完成下列填空:
(1)将凹形桥模拟器固定在托盘秤上,如图所示,托盘秤的示数为 1.00 kg 。
(2)将玩具小车静置于凹形桥模拟器最低点时,托盘秤的示数为 1.50 kg 。
(3)将小车从凹形桥模拟器某一位置释放,小车经过最低点后滑向另一侧,此过程中托盘秤的最大示数为 1.75 kg 。
(4)根据以上数据,可求出小车经过凹形桥最低点时对桥的压力大小为 $\_\_\_\_$ N;小车通过最低点时的速度大小为 $\_\_\_\_$ $\mathrm{m} / \mathrm{s}$(重力加速度大小 $g$ 取 $10 \mathrm{~m} / \mathrm{s}^2$ ,结果均保留 2 位有效数字)。


某同学要将一个满偏电流 $I_{\mathrm{g}}=50 \mu \mathrm{~A}$ 的表头 G 改装成量程为 1 mA 的电流表并校准。

(1)用图 1 所示的电路测量表头 G 的内阻 $r_{\mathrm{g}}$ ,连接电路,闭合开关调整滑动变阻器,当电流表 $A$ 的示数为 48 mA 时,表头 $G$ 的示数如图 2 所示,该读数为 $\_\_\_\_$ $\mu$ 。
(2)已知电流表 A 的内阻 $r_{\mathrm{A}}=3 \Omega$ ,则表头 G 的内阻 $r_{\mathrm{g}}=$ $\_\_\_\_$ $\Omega$ 。经过计算,用一个阻值为 $R_1$ 的电阻与表头 G 并联,将表头 G 改装成量程为 1 mA 的电流表。
(3)将改装后的电流表与标准电流表串联进行校准,当表头 G 的示数为 $\frac{4}{5} I_{\mathrm{g}}$ 时,标准电流表 A 的示数为 0.68 mA ,则改装之后的电流表实际量程是 $\_\_\_\_$ $\mathrm{mA}_{\text {。 }}$
(4)如果是因为 $r_{\mathrm{g}}$ 的测量不准确导致改装后的电流表量程不是 1 mA ,为使改装后的电流表量程变为 1 mA ,只需要在 $R_1$ 的两端并联一个阻值为 $R_2=$ $\_\_\_\_$ $R_1$ 的电阻即可 (结果用分数表示)。

一火星探测器着陆火星之前,需经历动力减速、悬停避障等阶段。在动力减速阶段,探测器速度大小由 $324 \mathrm{~km} / \mathrm{h}$ 减小到 0 ,历时 60 s 。在悬停避障阶段,探测器启用最大推力为 7000 N 的变推力发动机,在距火星表面约百米高度处悬停,寻找着陆点。已知火星半径约为地球半径的 $\frac{1}{2}$ ,火星质量约为地球质量的 $\frac{1}{10}$ ,地球表面重力加速度大小 $g$ 取 $10 \mathrm{~m} / \mathrm{s}^2$ ,探测器在动力减速阶段的运动视为坚直向下的匀减速运动。求:
(1)在动力减速阶段,探测器的加速度大小和下降距离;
(2)在悬停避障阶段,能借助该变推力发动机实现悬停的探测器的最大质量。

"转碟"是传统的杂技项目,如图所示,一质量为 $m$ 可视为质点的发光物体放在半径为 $r$ 的碟子边缘,杂技演员用杆顶住碟子中心,使发光物体随碟子一起在水平面内绕中心 $A$ 点做圆周运动,重力加速度为 $g$ 。
(1)当碟子的角速度为 $\omega_1$ 时,发光物体和碟子保持相对静止做匀速圆周运动,求此时发光物体受到碟子的作用力大小;
(2)若碟子半径为 $r=0.25 \mathrm{~m}$ ,发光物体与碟子间的动摩擦因数为 $\mu=0.5$ ,重力加速度 $g$取 $10 \mathrm{~m} / \mathrm{s}^2$ 。使碟子从静止开始转动,发光物体做加速圆周运动,切向加速度大小恒为 $a=3 \mathrm{~m} / \mathrm{s}^2$ ,设最大静摩擦力等于滑动摩擦力,求经过多长时间发光物体和碟子将发生相对滑动。

如图所示,木板 $A$ 放置在光滑水平桌面上,通过两根相同的水平轻弹簧 $M 、 N$ 与桌面上的两个固定挡板相连。小物块 $B$ 放在 $A$ 的最左端,通过一条跨过轻质定滑轮的轻绳与带正电的小球 $C$ 相连,轻绳绝缘且不可伸长,$B$ 与滑轮间的绳子与桌面平行。桌面右侧存在一坚直向上的匀强电场,初始时在电场力的作用下 $A 、 B 、 C$ 均静止,$M 、 N$ 处于原长状态,轻绳处于自然伸直状态。 $t=0$ 时撤去电场,$C$ 向下加速运动,下降一段距离后开始匀速运动,$C$ 开始做匀速运动瞬间弹簧 $N$ 的弹性势能为 0.1 J 。已知 $A 、 B 、 C$ 的质量分别为 $0.2 \mathrm{~kg} 、 0.5 \mathrm{~kg} 、 0.3 \mathrm{~kg}$ ,匀强电场的电场强度大小为 $E=3 \times 10^6 \mathrm{~N} / \mathrm{C}$ ,重力加速度大小 g 取 $10 \mathrm{~m} / \mathrm{s}^2$ ,弹簧弹性势能与劲度系数、形变量之间的关系满足 $E_{\mathrm{p}}=\frac{1}{2} k x^2$ ,最大静摩擦力等于滑动摩擦力,弹簧始终处在弹性限度内,轻绳与滑轮间的摩擦力不计。
(1)求小球 $C$ 的带电量;
(2)求 $A$ 与 $B$ 间的动摩擦因数及 $C$ 做匀速运动时的速度大小;
(3)若 $t=0$ 时电场方向改为坚直向下,$B$ 与 $A$ 发生相对滑动后,$A 、 B$ 继续向右运动,一段时间后,$A$ 从右向左运动。求 $A$ 第一次从右向左运动过程中的最大速度(整个过程 $B$末与 $A$ 脱离,$C$ 末与地面相碰)。

非会员每天可以查看15道试题。 开通会员,海量试题无限制查看。

  • 无限看试题

  • 下载试题

  • 组卷
开通会员

热点推荐

试卷二维码

分享此二维码到群,让更多朋友参与

试卷白板

试卷白板提供了一个简单的触摸书写板,可供老师上课、或者视频直播时, 直接利用白板给学生讲解试题,如有意见,欢迎反馈。